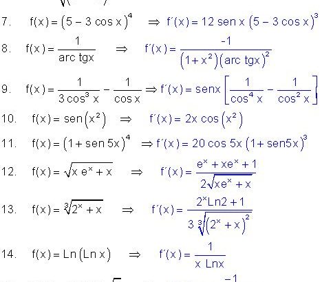
Ejercicios resueltos

Ejercicios resueltos

Bir cevap yazın

E-posta hesabınız yayımlanmayacak. Gerekli alanlar * ile işaretlenmişlerdir